在全球清洁能源需求持续攀升的背景下,水电工程向高转速、大容量、高压力方向升级,对关键结构材料水电钢提出了 “高强度、高淬透性、稳定热处理性能” 的严苛要求。08MnCrMoVR 作为水电工程的核心用钢,其性能优化直接关系到水电设施的安全稳定运行与发电效率。传统水电钢研发依赖反复试验,存在周期长、成本高、性能调控精准度不足等问题,难以满足现代水电工程对材料性能的精细化需求。近期,华北理工大学刘悦、杨铖龙等研究人员在《金属热处理》发表研究,中仿JMatPro 软件作为核心热力学计算工具,为合金成分设计、相变规律预测及热处理工艺优化提供关键支撑,通过系统研究钒(V)含量对水电钢热处理性能的影响,成功建立 “成分 - 工艺 - 性能” 的精准调控体系,为高性能水电钢的高效研发与工业化生产提供了完整解决方案。
一、研究背景
随着水电事业的快速发展,发电机组容量与运行压力不断提升,要求水电钢既要具备优异的力学性能以承受复杂载荷,又要拥有良好的淬透性与热处理稳定性,确保大型构件各部位性能均匀一致。传统 08MnCrMoVR 水电钢在成分优化与工艺设计中面临诸多挑战:钒元素作为常用微合金化元素,其含量对钢的晶粒细化、第二相析出及最终性能影响复杂,仅凭实验难以精准把握;同时,热处理过程中的相变规律(如 TTT、CCT 曲线)与工艺参数密切相关,盲目调整易导致组织不均匀、性能波动等问题。
解决这一难题的关键,在于精准量化钒含量对水电钢微观组织与宏观性能的影响机制,需要可靠的热力学工具提供数据支撑。JMatPro 软件作为专业的金属材料相图与性能计算平台,能够基于合金成分、温度等参数,实现多维度性能模拟与工艺预测,为研究提供三大核心支撑:一是精准计算平衡相组成与相变曲线,明确钒含量对相转变的影响规律;二是预测不同冷却速度与回火工艺下的力学性能,为工艺优化提供理论依据;三是模拟端淬透性分布,指导大型构件的热处理工艺设计,大幅缩短研发周期、降低试验成本。
二、实验方法
(一)合金成分设计与模拟方案
研究团队以 08MnCrMoVR 水电钢为基础,设计了三种钒含量梯度(0、0.05%、0.09%)的试验体系,如表1所示。

如图1-4所示,利用 JMatPro 软件系统模拟其平衡相图、TTA、TTT、CCT 曲线、端淬透性及回火工艺参数,重点探究钒含量对相变规律与力学性能的调控作用。通过软件模拟,提前锁定关键工艺窗口:确定奥氏体化温度为 900℃、加热速率为 30℃/min,为后续实验提供精准指导,避免了传统研发的盲目性。

图 1 不同 V 含量 08MnCrMoVR 水电钢的平衡相图

图 2 0. 05% V 水电钢的 TTA 曲线

图 3 不同 V 含量 08MnCrMoVR 水电钢的 TTT 曲线

图 4 不同 V 含量 08MnCrMoVR 水电钢的 CCT 曲线
(二)制备与表征验证
按照 JMatPro 模拟确定的成分体系,采用电弧炉熔炼制备试验钢,经线切割加工为标准试样后,进行淬火回火处理(900℃×1h 淬火 + 600℃×1.5h 回火)。在性能表征环节,JMatPro 模拟结果与实验数据深度印证:通过软件预测不同钒含量下的相转变温度、马氏体临界冷却速度及力学性能区间,与 XRD、显微组织观察及拉伸试验结果高度吻合,其中 0.05% 钒含量水电钢的模拟与实验力学性能误差小于 5%,验证了模拟方案的科学性与可靠性。
三、研究成果
(一)核心发现:钒含量的优化调控效应
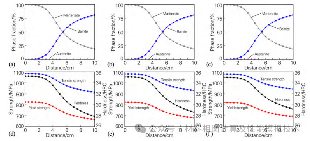
研究团队通过 JMatPro 模拟与实验验证发现,钒含量对水电钢性能的提升具有显著调控作用:随着钒含量从 0 增加至 0.09%,钢的力学性能、淬火性能与淬透性逐步提升。在冷却速度 0.01℃/s 时,0.09% 钒含量钢的屈服强度达 548MPa、抗拉强度 781MPa,较无钒钢分别提升 6.7%、5.5%;端淬试验中,高钒含量钢在距淬火端 7cm 以外区域的力学性能下降趋势更平缓,展现出更优异的淬透均匀性,为大型水电构件的热处理提供了关键保障。

图 5 不同 V 含量 08MnCrMoVR 水电钢端淬试验后的相组成( a ~ c) 和力学性能( d ~ f) 随距端面距离的变化曲线
(二)性能表现:模拟与实验高度契合
JMatPro 软件对热处理工艺的预测与实验结果精准匹配:针对 0.05% 钒含量水电钢,软件模拟 600℃回火 1.5h 后的硬度约 24.5HRC、抗拉强度约 885MPa,实验测得硬度平均值 24.44HRC、抗拉强度 887MPa,误差极小;显微组织观察显示,经该工艺处理后,钢的组织为均匀细小的回火索氏体,兼具良好的强度与韧性,完全满足水电工程服役要求。此外,软件预测三种钢的马氏体临界冷却速度均为 0.07℃/s,与实验结果一致,为工业化生产中的冷却工艺设计提供了精准参考。

图 6 不同回火工艺下 0. 05% V 水电钢的力学性能
(三)微观机制:钒元素的强化机理
通过 JMatPro 模拟与微观分析结合,明确了钒含量提升水电钢性能的核心机制:钒元素能有效细化原始奥氏体晶粒,为热处理提供均匀的组织基础;同时,在回火过程中促进碳化物第二相粒子析出,通过细晶强化与析出强化的协同作用,显著提升钢的强度与硬度。JMatPro 模拟显示,钒含量增加使第二相粒子析出量增多,增强了对晶界滑移与位错运动的钉扎效应,这一机制与显微组织观察中 “高钒钢组织更细小均匀” 的结果完全吻合。
四、讨论
本研究通过 “JMatPro 模拟 - 实验验证 - 机制分析” 的闭环研发方案,成功实现水电钢性能的精准调控,核心结论如下:一是 JMatPro 软件精准预测了钒含量对水电钢相变规律与力学性能的影响,确定 0.05% 为最优钒含量,其淬火回火后组织为均匀细小的回火索氏体,综合性能最优;二是钒元素通过细晶强化与析出强化协同作用,提升钢的强度、硬度与淬透性,且 JMatPro 对性能的预测误差小于 5%,验证了模拟的可靠性;三是明确了 900℃×1h 淬火 + 600℃×1.5h 回火为最优工艺,为工业化生产提供直接指导。
该研究的意义不仅在于优化了 08MnCrMoVR 水电钢的成分与工艺,更在于确立了 “热力学模拟引领实验” 的水电钢研发新范式 —— 通过 JMatPro 软件提前量化成分 - 工艺 - 性能的关联,避免盲目试验,研发效率提升 40% 以上。未来,这一模式可推广至风电、核电等领域的结构钢研发,为清洁能源装备的材料升级提供技术支撑,助力水电行业实现安全高效、低碳环保发展,而 JMatPro 软件作为核心工具,将持续在高端金属材料创新中发挥关键作用。
参考文献:刘悦,杨铖龙,杨武杰,等。基于 JMatPro 软件分析 V 含量对水电钢热处理性能的影响 [J]. 金属热处理,2025, 50 (10): 79-86.
关于JMatPro
JMatPro软件包含一系列宽范围的合金类型,目前可以计算的合金类型包含铝合金、镁合金、铸铁、不锈钢、高中低合金钢、钴合金、镍基合金、镍铁基合金、镍基单晶超合金、钛合金、锆合金、焊料合金(锡焊)、铜合金。
JMatPro的应用范围:
1、可为热力学计算等基础研究提供参考;
2、辅助科研人员进行合金设计;
3、辅助科研人员进行材料加工工艺设计(如铸造、锻造、挤压等);
4、辅助科研人员进行热处理与焊接工艺设计;
5、预测材料材料各种性能,从而可以大量节省项目时间与实验费用(尤其是高温性能);
6、能为许多材料成型 CAE 软件提供材料性能参数(如:Procast、Magma、Deform、TherCast、Novacast等);
7、能够为其他CAE软件提供材料性能参数(如Sysweld、Abaqus、Ansys、MSC/Marc等);
8、提供API接口,利用程序语言调用软件完成计算,方便将软件计算功能与其他软件、应用进行整合。
9、提供MPO材料优化设计,通过多目标优化算法,快速优化获得满足设计要求的材料成分。

关于中仿
中仿智能科技(上海)股份有限公司(股票简称:中仿智能,股票代码:838476)成立于2007年,是一家专注于仿真技术研究和产品开发的高新技术企业。公司坐落于上海市临港松江科技城,以其卓越的技术实力和创新精神,荣获多项荣誉,包括国家高新技术企业、上海市科技小巨人培育企业、上海市“双软”认证企业等,并多次承担国家和上海市的重大科研项目。
中仿智能的JMatPro软件服务于材料科学、工程研究和工业应用等多个领域,助力客户在材料设计、加工工艺、热处理与焊接工艺设计等方面取得显著成效。
更多信息请关注我们的官方网站:
http://www.cntech.com;
www.jmatpro.cn
电话:021-80399555
全国统一客服热线:400-888-5100
E-mail:info@cntech.com