Al-Mg-Si-Cu系铝合金作为典型的6XXX系轻量化材料,凭借比强度高、加工成型性优、耐蚀性强等核心优势,广泛应用于汽车车身、高铁构件、航空航天零部件等高端制造领域。相较于常规Al-Mg-Si三元合金,添加Cu元素可进一步提升合金强度,搭配稀土La微合金化改性,还能细化晶粒、优化析出相形态,进一步挖掘合金性能潜力。但该多元合金时效析出过程复杂,平衡相、亚稳相演变规律难以通过传统实验快速把控,研发周期长、试错成本高。沈阳工业大学刘桐宇团队借助于JMatPro金属材料相图及材料性能模拟软件,针对Al-Mg-Si-Cu-La合金开展系统性模拟计算,精准解析Cu含量对合金析出相演变及力学性能的影响规律,为该合金的成分优化、热处理工艺调控提供硬核理论支撑,助力高性能铝合金的高效研发。
1 研究背景
Al-Mg-Si-Cu-La合金的力学性能,高度依赖时效过程中析出相的种类、数量、尺寸及分布。该合金在时效过程中,除生成β系列强化相外,还会伴随Q系列、θ系列相及GP区析出,相组成复杂多变;同时Cu含量波动、稀土La的异质形核作用,都会直接改变析出行为,传统实验难以精准量化成分-相演变-性能之间的关联。
基于CALPHAD的JMatPro软件,具备强大的多组元合金热力学计算、相平衡模拟及性能预测能力,不仅能计算平衡相、亚稳相的析出含量与温度,还能构建力学性能模型,大幅减少盲目实验,缩短研发周期、降低成本,成为解析多元铝合金析出规律的核心工具。
2 试验方案
2.1 研究材料与成分设计
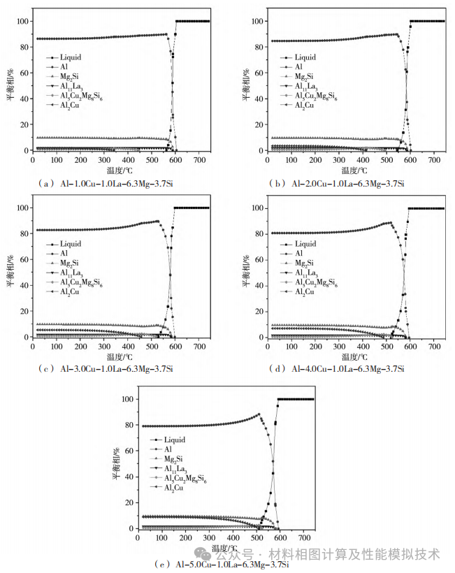
本研究以Al-6.3Mg-3.7Si-La合金为基体,设计5组不同Cu含量的合金试样,固定Mg、Si、La含量不变,Cu质量分数分别设置为1.0%、2.0%、3.0%、4.0%、5.0%,具体成分如表1所示。以该成分为输入参数,借助JMatPro开展热力学模拟与性能计算,同步开展显微组织观测、力学性能测试,验证模拟结果准确性。
表1 Al-6.3Mg-3.7Si-Cu-La合金系的成分

2.2 模拟与测试方法
基于JMatPro软件,采用CALPHAD相图计算方法,以体系吉布斯自由能最小化为判定标准,计算不同Cu含量下合金的平衡相、亚稳相析出含量、析出温度及演变规律,同时构建固溶强化+沉淀强化双机制力学模型,预测合金抗拉强度、硬度变化规律。
对合金试样进行固溶时效处理,采用S-3400N扫描电镜(SEM)观测显微组织,结合EDS能谱、XRD衍射分析析出相种类;测试铸态合金抗拉强度、维氏硬度,对比模拟结果验证准确性。
3 核心成果
3.1 平衡相析出规律
JMatPro模拟结果显示,Cu含量在1.0%~5.0%范围内,合金平衡相无新相生成,主要包含α-Al基体、β(Mg₂Si)相、θ(Al₂Cu)相、Q(Al₅Cu₂Mg₈Si₆)相及Al₁₁La₃相,其中Al₁₁La₃相由稀土La反应生成,可作为异质形核质点细化晶粒。

图1 合金平衡相析出量与温度之间的关系
随着Cu含量增加,β(Mg₂Si)相、Q相、Al₁₁La₃相的室温含量保持恒定(β相9.61%、Q相0.67%、Al₁₁La₃相1.71%),无明显波动;而θ(Al₂Cu)相含量线性上升,从1.0%Cu时的1.60%升至5.0%Cu时的9.0%,成为影响合金强度的核心强化相。同时,Cu含量升高会降低β相起始析出温度,提升Q相析出峰值温度,改变相析出动力学。

图2 不同Cu添加量对三种强化相的含量随温度的变化
3.2 亚稳相析出规律
合金时效过程中生成的亚稳相(β′、θ′、Q′)及GP区,是决定合金强化效果的关键。模拟结果表明:Cu含量增加会促进θ′亚稳相、GP区析出,二者含量持续升高,θ′相起始析出温度从244℃升至401℃,GP区起始析出温度从100℃升至211.5℃;β′亚稳相含量持续降低,析出温度小幅下降;Q′亚稳相含量先增后减,在Cu含量为2.0%时达到峰值1.73%,析出温度逐步升高。

图3 4%Cu的合金中亚稳相随温度变化

图4 在不同Cu含量下,合金中主要亚稳相的含量随温度变化
这一规律表明,适量Cu可提升亚稳强化相数量,增强沉淀强化效果,过量Cu则会打破亚稳相平衡配比,弱化强化作用。
3.3 力学性能变化规律
JMatPro力学模型模拟显示,随着Cu含量从1.0%提升至4.0%,合金抗拉强度、硬度持续升高,在Cu含量为4.0%时达到峰值;当Cu含量升至5.0%时,力学性能反向下降。实验测试数据与模拟结果高度吻合:未添加Cu的合金抗拉强度为166.9MPa、硬度HV75.6;4.0%Cu合金抗拉强度升至219.6MPa、硬度HV113.2,分别提升31.6%、49.7%;5.0%Cu合金性能出现明显回落。
适量Cu促使θ(Al₂Cu)强化相数量增多,且θ相可细化共晶Mg₂Si相,减少应力集中;性能下降原因:过量Cu导致强化相粗化,粗大相聚集晶界,削弱晶粒结合力,成为脆性相。

图5 Cu含量在1%~5%之间合金的力学性能
4 结论与讨论
本研究借助JMatPro软件,成功实现Al-Mg-Si-Cu-La合金“成分-析出相-力学性能”的全维度量化关联,明确了Cu含量的最优阈值,核心结论与应用价值如下:
(1)成分优化依据:Cu含量对β相、Q相含量无影响,可精准调控θ相及亚稳相析出,4.0%为最优Cu添加量,此时合金综合力学性能最佳。
(2)模拟价值凸显:JMatPro可精准预测多元铝合金平衡相、亚稳相演变及力学性能,模拟结果与实验高度吻合,完全替代前期盲目试错实验。
(3)研发范式升级:构建“JMatPro模拟预判+实验验证”的研发模式,大幅缩短多元铝合金研发周期、降低成本,为同类轻量化铝合金的成分设计、工艺优化提供可复制的技术路径。
该研究成果不仅推动Al-Mg-Si-Cu-La合金在交通轻量化领域的工程应用,更充分展现了JMatPro软件在多元合金热力学计算、性能预测领域的核心优势,拓展了材料模拟软件在有色金属研发中的应用场景。
参考文献:[1] 刘云鹤,刘桐宇,宋来,等. 基于JmatPro对Al-Mg-Si-Cu-La合金析出相及性能的研究[J]. 有色合金,2023,72(07):838-845.
关于JMatPro
JMatPro软件包含一系列宽范围的合金类型,目前可以计算的合金类型包含铝合金、镁合金、铸铁、不锈钢、高中低合金钢、钴合金、镍基合金、镍铁基合金、镍基单晶超合金、钛合金、锆合金、焊料合金(锡焊)、铜合金。
JMatPro的应用范围:
1、可为热力学计算等基础研究提供参考;
2、辅助科研人员进行合金设计;
3、辅助科研人员进行材料加工工艺设计(如铸造、锻造、挤压等);
4、辅助科研人员进行热处理与焊接工艺设计;
5、预测材料材料各种性能,从而可以大量节省项目时间与实验费用(尤其是高温性能);
6、能为许多材料成型 CAE 软件提供材料性能参数(如:Procast、Magma、Deform、TherCast、Novacast等);
7、能够为其他CAE软件提供材料性能参数(如Sysweld、Abaqus、Ansys、MSC/Marc等);
8、提供API接口,利用程序语言调用软件完成计算,方便将软件计算功能与其他软件、应用进行整合。
9、提供MPO材料优化设计,通过多目标优化算法,快速优化获得满足设计要求的材料成分。

中仿智能科技(上海)股份有限公司是中国先进仿真技术高科技公司,公司成立于2007年,是中国领先的仿真分析软件和系统解决方案的提供者。中仿科技依靠自主创新研发拥有自主知识产权的中仿CAE系列产品,同时与国内外最优秀的数值仿真技术研究机构和企业保持长期而紧密的合作关系,能够为中国企业和科研机构提供世界一流的仿真技术解决方案。
中仿坚持自主创新,持续提升核心竞争力,积累了深厚的创新研发能力,并形成完备的服务体系。公司多次承担国家科技部和上海市科委研发项目,荣获国家高新技术企业、上海市“双软”认证企业、上海市工业设计中心等称号,为用户提供先进的虚拟仿真技术和产品。
更多信息请关注我们的官方网站:www.jmatpro.cn
公众号:材料相图计算及性能模拟技术
公司电话:021-80399555
地址:上海市松江区九新公路1005号临港松江科技城中仿大厦 (201615)
电子邮箱:info@cntech.com
客服热线:400-888-5100
技术交流(QQ群):246828135